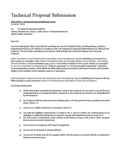
Thomas Gray Blog